그냥 게임개발자
인접행렬(2) 본문
회사 퇴근하고 작성하려니 몸이 스르르 녹네요.

그래도 해야죠

자 아무튼
우리는 인접행렬에 대한 개념을 조금 배워봤어요.
그렇다면 한 번 다시 해봅시다.
만약에
정점의 갯수가 10개인 그래프가 있습니다.
이를 인접행렬로 표현하면 어떻게 될까요?
bool arr[10][10];
가 되겠죠.
그러면 0번부터 9번까지 10개인 노드가 있습니다.
1 - 2 / 1 - 3 / 3 - 4라는 경로가 있습니다.
이를 인접행렬로 표현한다면 어떻게 될까요?
bool arr[10][10];
arr[1][2] = 1;
arr[2][1] = 1;
arr[1][3] = 1;
arr[3][1] = 1
arr[3][4] = 1;
arr[4][3] = 1;
이렇게 되겠죠?
그럼 이어서 0번부터 방문안한 노드를 찾고 해당 노드부터 방문하고 연결된 노드를 이어서 방문하여 출력하는 재귀함수를 구현하려고 합니다.
아래 코드를 보죠.
#include <iostream>
using namespace std;
bool arr[10][10], visited[10];
void solve(int from)
{
// 방문을 먼저 했다는 표시
visited[from] = 1;
cout << from << '\n';
for (int i = 0; i < 10; ++i)
{
// 방문했으면 continue
if (visited[i])
continue;
// 이 아래는 방문을 안했다는 표시니 다시 재귀함수 시작
if (arr[from][i])
{
solve(i);
}
}
}
int main()
{
arr[1][2] = 1;
arr[2][1] = 1;
arr[1][3] = 1;
arr[3][1] = 1;
arr[3][4] = 1;
arr[4][3] = 1;
for (int i = 0; i < 10; ++i)
{
for (int j = 0; j < 10; ++j)
{
// arr[i][j]에 값이 있을 때 visited를 통해 방문했는지 체크
// 0은 곧 false니 방문하지 않았다는 뜻
if (arr[i][j] && visited[i] == 0)
{
solve(i);
}
}
}
}
주석으로 설명처리 했습니다.
설명해보겠습니다.
일단 i = 0 부터 시작하고 j도 0부터 시작합니다.
그럴 때 arr[i][j]의 값이 true 즉 간선이 있는지 확인합니다.
없다면 지나가겠죠?
그러면 i가 1이고 j가 2일때는 어떨까요?
arr[1][2]라는 값은 1 즉 true가 들어가 있죠?
그렇다면 visited라는 배열을 검사합니다.
물론 처음이니 값은 당연히 false(0)일 겁니다.
그렇다면 solve재귀함수를 실행하게 되고
인자에는 1이 들어가게 됩니다.
루트노드가 들어가게되네요.
from에는 1이라는 인덱스가 들어가게 되며
visited[from] = 1;
재귀함수에서 이 부분이 제일 먼저 실행이 될텐데요.
방문을 했으니 당연히 true로 변경 시켜줘야 하죠.
그다음 반복문입니다.
for (int i = 0; i < 10; ++i)
{
if (visited[i])
continue;
if (arr[from][i])
{
solve(i);
}
}
그렇다면 visitied[i]는 방문을 했는지 체크를 합니다.
0은 방문을 안했더라도 arr 즉 정점에 존재하지 않으니 solve라는 함수가 실행되지 않습니다.
그렇다면 1(from)과 관련되고 방문이 되지 않은 인접행렬은 무엇이 있나요?
[1][2]와 [1][3]이 있습니다.

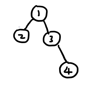
트리를 보자면 이렇습니다.
1과 연결된 것은 2와 3입니다.
그렇다면 2먼저 방문하고 2와 연결된 간선이 있는지 체크하고 없으면 다시 돌아갑니다.
그렇다면 ++i가 되어 3으로 시작해서 다시 3과연결된 간선을 찾게 됩니다.

방문의 순서는 이렇습니다.
너무 이해가 안가신다면 디버깅을 찍어서 활용해봅시다.

이런 식으로 탐색하는 재귀함수 코드를 짤 수 있습니다.
끄으틍
'내 개인적인 공부 > 알고리즘' 카테고리의 다른 글
| 인접행렬과 인접리스트의 차이 (0) | 2024.04.22 |
|---|---|
| 인접리스트 (0) | 2024.04.22 |
| 인접 행렬(1) (0) | 2024.04.21 |
| 이진 트리와 이진 탐색 트리 (1) | 2024.04.21 |
| 트리(Tree) (0) | 2024.04.21 |