그냥 게임개발자
순열 - 재귀함수로 만드는 순열 본문
#include <stdio.h>
#include <vector>
#include <algorithm>
int main()
{
vector<int> v;
for (int i = 1; i <= 3; i++)
v.push_back(i);
do
{
for (int i : v)
cout << i << " ";
cout << '\n';
}while(next_permutation(v.begin(), v.end()));
}
원래 순열은 next_permutation을 사용해 첫번째 주소와 마지막주소의 다음주소를 넣어 순열을 만드는 것을 했다.
혹시 알고리즘 코딩 테스트를 볼 때 next_permutation이 생각이 안날수도 있다.
그렇기 때문에 재귀함수로 만드는 연습도 해볼 것인데
사실 재귀함수가 그렇게 코스트가 좋지는 않지만
그래도 알아가면 좋은 것이다.

일단 순열을 쌩으로 만들기 위해서 Swap을 해야한다는것은 당연한 것이다.
[1, 2, 3]에서 [1, 3, 2]의 다음 순열을 만드려면 1번째와 2번째 (처음은 무조건 0번째)를 Swap해야 한다는 것이다.
#include <stdio.h>
#include <algorithm>
#include <vector>
vector<int> v;
void PrintV(vector<int>& vec)
{
for (int i = 0; i < vec.size(); ++i)
{
cout << vec[i] << " ";
}
cout << '\n';
}
void MakePermutation(int n, int r, int depth)
{
cout << n << " : " << r << " : " << depth << '\n';
// 기저사례
if (r == depth)
{
PrintV(v);
return;
}
// 실제 Swap 및 Recursion
for (int i = depth; i < n; ++i)
{
swap(v[i], v[depth]);
MakePermutation(n, r, depth + 1);
swap(v[i], v[depth]);
}
}
int main()
{
for (int i = 1; i <= 3; ++i)
v.push_back(i);
MakePermutation(3, 3, 0);
}

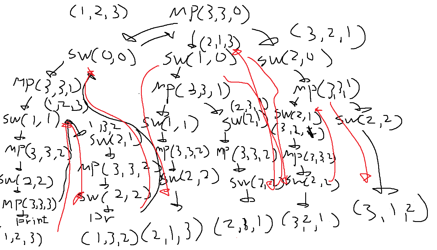
어우 그림봐바 증말..
근데 한 번 도식화 해보는 것을 추천
이해 잘됨
이거는 외워두자
// n개중에서 r개를 뽑아오겠다
// depth를 기반으로
void f(int n, int r, int depth)
{
// 재귀함수는 기저사례를 무조건
if (r == depth)
{
//logic
return;
}
// 시작지점은 depth부터 n까지
for (int i = depth; i < n; ++i)
{
swap(arr[i], arr[depth]);
f (n, r, depth + 1); // 다시 함수
swap(arr[i], arr[depth]); // 끝날 때 swap!
}
}
이걸 외워두는게 좋긴 하지만
c++에서는
do
{
for (auto i : vector)
{
cout << i << " ";
}
cout << '\n';
}while(next_permutation(vector.begin(), vector.end()));
이게 제일 간단하긴하다 오늘 끝 이제 잘꺼야
내일출근이야................................................................................................................................
하지만

'내 개인적인 공부 > 알고리즘' 카테고리의 다른 글
| 반복문을 통한 순열 (0) | 2024.04.04 |
|---|---|
| 조합(Combination) (1) | 2024.04.02 |
| 순열(Permutation) (0) | 2024.03.31 |
| 재귀함수(Recursion) (0) | 2024.03.31 |
| 문제 풀 때 주의 (0) | 2024.03.31 |